Extract Responses from Tuned MATLAB Model at the Command Line
This example shows how to analyze responses
of a tuned control system by using getIOTransfer to
compute responses between various inputs and outputs of a closed-loop
model of the system. You can obtain other responses using similar
functions such as getLoopTransfer and getSensitivity.
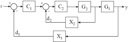
Consider the following control system.

Suppose you have used systune to
tune a genss model of this control system. The
result is a genss model, T,
which contains tunable blocks representing the controller elements C1 and C2.
The tuned model also contains AnalysisPoint blocks
that represent the analysis-point locations, X1 and X2.
Analyze the tuned system performance by examining various
system responses extracted from T. For example,
examine the response at the output, y, to a disturbance
injected at the point d1.
H1 = getIOTransfer(T,'X1','y');
H1 represents the closed-loop response of
the control system to a disturbance injected at the implicit input
associated with the AnalysisPoint block X1,
which is the location of d1:

H1 is a genss model that
includes the tunable blocks of T. H1 allows
you to validate the disturbance response of your tuned system. For
example, you can use analysis commands such as bodeplot or stepplot to
analyze H1. You can also use getValue to
obtain the current value of H1, in which all the
tunable blocks are evaluated to their current numeric values.
Similarly, examine the response at the output to a disturbance injected at the point d2.
H2 = getIOTransfer(T,'X2','y');
You can also generate a two-input, one-output model representing
the response of the control system to simultaneous disturbances at
both d1 and d2.
To do so, provide getIOTransfer with a cell array
that specifies the multiple input locations.
H = getIOTransfer(T,{'X1','X2'},'y');
See Also
getIOTransfer | getLoopTransfer | getSensitivity | getCompSensitivity | AnalysisPoint